Utilizando Curiosidades e Jogos Matemáticos em Sala de Aula (página 5)
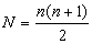
Generalizando, encontramos o número de retas que se podem traçar para n pontos, basta somar ''n'' ao número de diagonais de um polígono de "n" vértices ou "n" lados.
Chamando de N o número de retas, temos:

Essa fórmula é similar à que se utiliza para a soma dos "n" primeiros números naturais não nulos:

Entre os recursos didáticos citados nos Parâmetros Curriculares Nacionais (PCN) destacam-se os ''jogos''. Segundo os PCN, volume 3, não existe um caminho único e melhor para o ensino da Matemática, no entanto, conhecer diversas possibilidades de trabalho em sala de aula é fundamental para que o professor construa sua prática.
"Finalmente, um aspecto relevante nos jogos é o desafio genuíno que eles provocam no aluno, que gera interesse e prazer. Por isso, é importante que os jogos façam parte da cultura escolar, cabendo ao professor analisar e avaliar a potencialidade educativa dos diferentes jogos e o aspecto curricular que se deseja desenvolver".
(PCN, 1997,48-49)
Entendemos, portanto, que a aprendizagem deve acontecer de forma interessante e prazerosa e um recurso que possibilita isso são os jogos. Miguel de Guzmán, 1986, expressa muito bem o sentido que essa atividade tem na educação matemática: "O interesse dos jogos na educação não é apenas divertir, mas sim extrair dessa atividade matérias suficientes para gerar um conhecimento, interessar e fazer com que os estudantes pensem com certa motivação".
Bibliografia:
BORIN,J. Jogos e resolução de problemas:uma estratégia para as aulas de matemática. São Paulo:IME-USP;1996.
SECRETARIA DA EDUCAÇÃO FUNDAMENTAL. Parâmetros Curriculares Nacionais. Brasília:MEC/SEF,1997.
FERRERO,L.F. El juegoy la matemática. Madrid: La Muralla,1991.
GUZMÁN, M. de. Aventuras Matemáticas. Barcelona:Labor,1986.
MOURA, M. O. de. A construção do signo numérico em situação de ensino. São Paulo:USP,1991.
TAHAN, M. O homem que calculava. Rio de Janeiro: Record,1968.
Clique aqui para avaliar este artigo
![]() |
||






























